質問9
ボルトを締め付けたときのねじ部強度の評価方法を教えてください
回答
質問 No.8で説明した有効断面積 ASを使って、ボルトとナットの はめあいねじ部に発生する応力(単位面積あたり作用する力)を計算します。その場合、質問 No.6で説明した締め付け方法によって計算式が変わってきます。張力法と熱膨張法(それぞれボルトテンショナとボルトヒータによる締め付け)では、ボルトには軸力のみが作用します。
一方トルク法と回転角法では、本来必要なボルト軸力以外にねじりモーメント(トルク)も作用します。
ねじの呼び径をd、ピッチをP、ボルト軸力を Fb、はめあいねじ部に作用する
引張応力を σthとして計算式を示します。
[ 張力法と熱膨張法 ]

上式はボルト軸力 Fbを有効断面積 ASで除したものです。ただし張力法の場合、最初にボルトに与える引張力は、目標軸力 Fb より大きな値にする場合が多いため、塑性変形が広がらないように注意が必要です。
[ トルク法 ]

回転角法もトルクを与えて締め付けるという点では同じなので、ここではトルク法で説明します。トルク法についてはNo.7の質問で詳しく説明していますが、トルクレンチやスパナで与えたトルク Tt は、ねじ部トルク T1 とナット座面トルク T2 として消費されます。

T1 と T2 との比率は摩擦係数によって変化しますが、おおむね Tt に対してほぼ50%ずつとなります。

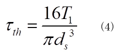
この T1 によってねじ部に発生するせん断応力
th は、材料力学の公式から計算できます。

ねじ部には式(1) の σth と式(4) の
th が同時に作用するので、はめあいねじ部の
強度は“ ミーゼス応力 ”と呼ばれる応力を計算して評価します。

詳しい説明は省略しますが、ミーゼス応力は
複数の応力が同時に作用したときの効果を一つの応力に置き換えた応力と解釈できます。つまり、
の値が材料の降伏応力に達すると塑性変形が始まるわけです。





