質問8
ねじが切られた部分の強度評価にはどの寸法を使えばいいですか?
回答
ねじのさまざまな寸法は呼び径 dとピッチ Pが基本となります。ボルトの円筒部の強度を評価する場合は直径が dの円柱と考えます。一方、ねじ部は断面積が小さくなるので円筒部に比べて強度は低くなります。三角ねじの場合、JISでは有効断面積 AS という考え方があり、ねじ部分の強度を直径 dS の円柱に置き換えて評価します。

ねじの寸法が決まると、上式にdとPを代入して有効断面積 AS を求めることができます。 有効断面積の直径である dS は、ねじ山形状の基本となる正三角形の中央までの直径である有効径 d2 より小さくなります。

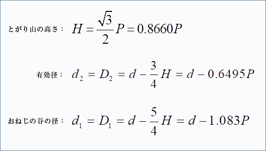
上の図に現れる寸法はすべて d と P で表すことができます。

補足として、ねじ谷底の丸み半径 pについては規定されていませんが、強度区分が8.8以上のねじでは125P 以上とすることが推奨されています。









